|
引言 脉动衰减器是液压系统中一种常用的压力脉动衰减装置,在减小液压系统的振动和噪声方面具有重要的作用。国内外众多学者对液压系统脉动衰减装置进行了研究:邢科礼[1]开发了一种新型囊式结构的压力脉动消减装置,小岛英一等[2]提出了一种变结构的共振式衰减器。近年来,国外已经应用泵体内置固定缓冲瓶的航空液压泵[3]。 同时,对于液压共振衰减器的分析基础———流体管道动态特性的计算方法也在不断发展。早期利用无损模型和线性摩擦模型进行计算分析;后来发展的耗散模型被认为是精确模型,但其中含有Bessel函数,不易直接应用。很多学者对管道模型中的Bessel函数进行近似处理,取得了较好的效果。但通过近似方法得到的模型适应性较差,仅适用于一些简单结构的衰减器的精确计算,对于复杂结构的衰减器就无能为力了。 本文在计算流体动力学(computational fluiddynamics,CFD)数值计算的基础上,建立了液压衰减器的频率分析模型,讨论了模型的有效性、准确性和适应性。以M序列压力信号模拟压力激励,考虑油液的可压缩性,利用CFD分析工具包OpenFOAM对衰减器进行瞬态计算,对时域计算结果进行FFT变换,得到衰减器的频率特性。分析了三种不同共振腔尺寸衰减器的频率特性,并将其与传统分析结果进行对比,验证了模型的有效性和准确性。同时,将该方法用于一种结构较为复杂的衰减器的频率特性计算。 1衰减器频率响应分析CFD模型 普通共振式衰减器的结构如图1所示,包含了液压系统的主管路和衰减器。假定条件如下:流体在系统中的状态为层流;流体为连续介质,且流动为牛顿流动;流体可压缩,同时忽略温度、气穴以及重力加速度的影响;流体速度远小于声音在流体中传递的速度;管道为刚体,忽略其弹性。图1中,p1、q1为1端压力和流量,p2、q2为2端压力和流量,p3、q3为衰减器颈部入口的压力和流量,p4、q4为衰减器共振腔底部的压力和流量,px、qx为主管路任意一处的压力和流量。 
1.1基本控制方程 根据流体动力学原理,考虑流体的可压缩性,图1所示的液压衰减器内及管道内流体运动的连续方程[4]为 
式中,ρ为流体密度,kg/m3;t为时间,s;U为速度矢量,m/s。 动量方程[4]为 
式中,p为相对压力,p= pa-p0;pa为绝对压力;p0为参考压力,Pa;μ为动力黏度,Pa·s。 流体为弱可压缩正压流体,其密度与压力的关系为[5] 
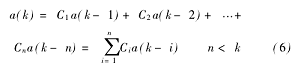
式中,c为流体中的声速,m/s。 将式(3)线性化得 ρ=ρ0+(pa-p0)/c2 (4) 式中,ρ0为流体参考密度,kg/m3。 1.2边界条件 M序列是一种伪随机序列,具有广谱性和周期性,在系统辨识中得到广泛应用,可以在一次计算分析中得到一定频率范围的响应特性。所以,模型1端的压力p1(t)设置为M序列的时间函数f(t): p1(t) =100f(t) (5) M序列通过编程,利用移位寄存器方法生成。设{ak} = {a1,a2,a3,…}为移位寄存器生成的序列,其反馈权重系数为{Ci| Ci∈{0,1}},ak= a(k)为符号变换,移位寄存器生成序列与反馈元素之间的关系为[6] 
式中,“+”表示模2相加;n为寄存器个数。 寄存器的初始序列为{a1,a2,…,an}。将M序列a(k)映射到时间轴: f(t) = a(k) (7) 
其中,T为M序列的时间周期,根据不同的频率分析精度设定。如设定分析精度为10Hz,则M序列周期T =0·1s。 假设要分析的衰减器的频宽为2000Hz,则计算所用的移位寄存器个数n =8,反馈权重系数[6] {Ci} = {1,1,0,0,0,0,1,1} (8) 移位寄存器初始值全置为1。所得到的p1端前半周期的压力信号如图2所示。出口端(即图1中2端)及其他边界均设置为刚性壁面。 
1.3求解方法 通过计算,可得到2端的时间序列。设在第i个M序列周期内2端的时间序列为 {pi,2} = { pi,21, pi,22, pi,23,…, pi,2m, pi,2m+1,…, pi,2n}式中,m代表对应时刻mΔt;Δt为计算步长;l为一个周期内的计算总步数,l = T/Δt。 将序列{pi,2}视为一赋范空间,则其范数为 
式中,ε为任意小正实数。 1.4傅里叶变换 对于某一离散周期信号,其频谱可用离散傅里叶变换[7]得到 
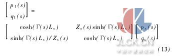
式中,Δts为采样间隔;N为采样总数;f(k)为周期信号f(t)的离散形式;ω为角频率,ω=2πn/(NΔts)。 在计算中,对p3端和p4端的压力进行采样得到p3(k)和p4(k),其傅里叶变换序列为p3(jω)和p4(jω),因此衰减器的频率特性为 G*(jω) = P4(jω)/P3(jω) (12) 2传统的精确分析模型 传统上,1端p1、q1和x处px、qx之间的频率特性关系为[8] 
式中,Γ(s)为传播算子;Z(s)为管道特征阻抗;s为拉普拉斯算子。 如果考虑频率相关的摩擦损失,该段管路的Γ(s)和Zx(s)分别为[8] 
式中,D、r分别为该段管道的直径和半径;ν为运动黏度;J0、J1为0阶和1阶的第一类Bessel函数。 根据管道四口网络模型(式(13))及串联规则,有 
式中,A1、A2分别为衰减器颈部和共振腔的传递矩阵。 按传统方法计算,共振衰减器的频率特性为 
3计算参数 计算所用流体为46号抗磨液压油,其物理参数如表1所示。根据实际液压系统中管道的几何尺寸,主管路及连接部的结构参数如表2所示。网格的划分采用四面体网格,共振腔结构参数及模型节点总数和网格总数见表3。 
图3所示为表3中1号共振腔结构脉动衰减器的网格模型。 
4分析与讨论 4.1计算方法的特点比较 如图4所示,正弦信号对应一个频率,在一次模拟中可以使用一个或多个频率叠加起来共同作用,要得到一定范围的频率响应,需要数次模拟才行;M序列则对应一定范围内的频率,可以在一个周期内一次性地模拟衰减器的频率响应。 
从计算分析方法的特点来看,传统分析与CFD分析方法在简化性、计算耗时性和结构适应性等方面均存在差异,不同分析方法的特点比较如表4所示:两种CFD方法均比传统方法计算耗时量大得多;CFD的优势在于无须简化,对于复杂结构的适应性更强;在两种CFD方法中,M序列激励由于一次可以获得一定范围的频率响应,因此比使用正弦扫频信号耗时少。 
4.2计算结果分析 对表3中不同共振腔结构的衰减器进行模拟,其结果如图5~图7所示。由图5~图7可以看出,CFD计算结果与传统分析结果一致;CFD计算所得的共振频率稍小于传统分析的结果,并且共振频率处的幅值也小于传统分析结果,高频段的幅值也略小于传统分析结果。CFD计算的频率特性在高频段略小于传统分析的原因可能是传统分析在高频段对黏性估计不足造成的。 1号和2号结构具有相同容积的共振腔,传统分析CFD分析得到的频率响应相近,如图5、图6所示。1号和3号结构具有相同共振腔直径,但共振腔长度不同,3号结构的共振腔长度大,共振腔体积也大,其共振频率就低,如图5、图7所示。 
5应用 为验证文中所述分析方法的适应性,对图8所示的螺旋形衰减器结构进行分析,图中主管路和连接部的尺寸同表2,螺旋结构的管内径为20mm,总长度为875mm。如采用传统计算方法,这种结构基本上无法计算;采用CFD计算时无须简化,直接划分网格,设定边界条件、流体属性后即可进行计算。 
图9所示为通过CFD计算得出的图8所示螺旋结构衰减器的频率响应。计算结果表明:利用M序列作为激励信号,通过CFD模拟的方法可以胜任复杂结构衰减器的频率响应分析。 
6结论 (1)CFD数值计算结果与传统分析结果一致,但共振频率略低于传统分析结果,且在高频段其幅值略小于传统分析结果。 (2)利用CFD方法可分析复杂结构衰减器的频率特性,因而CFD方法具有很强的结构适应性。 摘自:中国计量测控网
|