|
引言 热式流量计是在早期热线风速仪的基础上发展起来的一种新型流量检测仪表,具有压损低、测量范围大、无可动部件、可靠性高以及可用于极低气体流量监测和控制等特点,因此,被广泛应用于航空、航天、能源、汽车工业以及天然气管道运输等行业[1]。根据敏感元件类型,热式流量计可分为热线敏感元件、热膜敏感元件和组合铂膜敏感元件共三种。在分析了三种敏感元件的优缺点,并对各种热线、热膜探头进行试验研究的基础上[2-3],最终提出基于组合铂膜探头的热式气体流量计。实验结果表明,本文采用的流量传感器对提高气体流量测量的精度是有效的。 1温度特性研究 流量传感器以热传递原理为基础,即在空气流通管路中放置一个或多个发热体(铂膜或热线),由于发热体的热量被流动的空气带走,发热体本身会被冷却,所以它的阻值会随气体流速发生变化。铂膜周围通过的空气流量越大,被带走的热量就越多,探头的阻值变化也就越大。铂膜式空气流量计就是利用铂电阻与空气之间的这种热传递现象进行空气流量测量的。 除了气体的流量大小,气流的温度对铂膜电阻的散热也有很大影响,造成流量计的输出在流量恒定的情况下也会随气流温度的变化而变化。为了使流量传感器的输出仅随流量变化,无论是传统的热分布型质量流量计,还是新型的浸入型质量流量计,在设计时必须考虑热式探头的温度补偿。而补偿电路的设计与气流温度对铂膜电阻的影响量即铂膜电阻的温度特性有关。通过对上文的分析可知,对铂膜探头的温度特性研究极为重要。温度特性实验方案如图1所示。 
图1温度特性实验图 Fig. 1The experimental graphic of thetemperature characteristics 将铂膜探头放置在温度可调的恒温箱中,给探头加上某一恒定电流,通过测量总电压和铂膜探头两端的电压,计算探头温度。温度特性曲线图如图2所示。 
图2温度特性曲线图 Fig. 2The curves of the temperature characteristics 由图2可以看出,在静止气流和恒流供电情况下,组合铂膜探头工作温度随环境温度的提高基本呈线性提高,即探头工作温度与环境温度之间的温差基本保持不变。当组合铂膜探头温差较低时,探头的灵敏度不高,而温差太大,容易造成探头的损坏。所以,最终确定组合铂膜探头工作电流应在30mA左右,这时探头具有较高的灵敏度,探头也不易损坏。 温度补偿是使电路能自动地根据气流温度变化改变探头的工作温度,实现在相同流量下输出与气流温度变化无关的稳定电压。温度补偿电路如图3所示。 
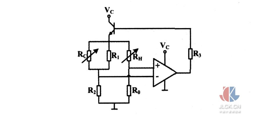
图3温度补偿电路 Fig. 3The temperature compensation circuit 图3中:温度补偿电路采用的是自动校正法,在惠斯登电桥中加入补偿电阻RC以及辅助电阻R0、R1和R2。温度补偿设计的依据是组合铂膜探头的散热特性。设RX为RC和R1并联后的总电阻值,为了使传感器输出不随环境温度变化,理论上在任何环境温度下应满足: R0/RH=R2/RX (1) 即当环境温度发生变化时,测量桥臂和补偿桥臂上两电阻之比的曲线应该重合,这样就能够比较准确地实现对环境温度的补偿。 2数据处理与曲线拟合 在本文研究过程中,对组合铂膜探头在钟罩式气体检定装置上做了大量的流量测量实验,并做了重复性的分析,从而判定该组合铂膜探头在气体流速测量中的可行性。实验是用钟罩式气体检定装置来控制流量的,这里只取三组实验结果的数据来进行重复性分析,实验结果如表1所示。 
从表1可以看出,电压与流量之间具有较好的一一对应关系,因此,可以根据输出电压来检测流场中的流量;且在相同的实验条件下,当气体流量相同时,三组实验的输出电压值也基本相同,即三组实验的输出电压重复性较好。
3曲线拟合及误差分析 本文研究的新型气体流量计最终要把电压信号转变为相对应的数字信号。这里,需要使用流量对应信号电压的函数Q=F(U),且实验表明函数Q=F(U)更容易拟合处理[4],所以可以把探头特性曲线表示成待拟合试验数据点。热式流量计输出拟合曲线如图4所示。 
图4热式流量计输出拟合曲线 Fig. 4The output fitting curve of the thermal flowmeter 由图4所示曲线可知,可采用多项式对其进行拟合。于是,选取多项式{x0,x1,…,xm}为基,进行多项式最小二乘曲线拟合。分别取m=3和m=4进行拟合,其结果如表2所示。 
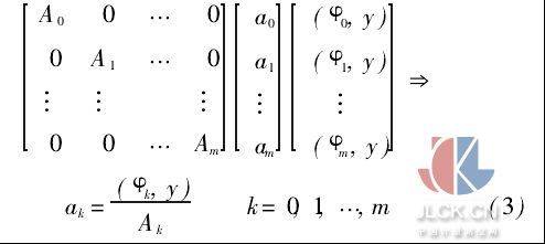
由表2可知,3阶和4阶的个别点拟合误差较大,不能满足流量检测的精度要求。而如果增大拟合次数,其系数矩阵不易于计算,在单片机中更难实现。因此,选取正交多项式为基作最小二乘拟合。假设测得的各实验点数据为(x0,f0), (x1,f1),…,(xn,fn),各数据点的权重均为1,选取的正交多项式簇为{φ0(x),φ1(x),…,φm(x)}。将基函数的系数矩阵变为对角阵,从而大大简化计算,不需要解矩阵方程就可直接求解。 
这里m的大小可以预先给定或者在计算过程中根据误差大小进行调整[5]。 采用正交多项式进行数据拟合,并按上述方法对同一实验数据进行6阶和7阶正交多项式拟合,正交拟合结果如表3所示。 
4结束语 试验表明,该气体流量传感器测量范围大、重复性好、响应速度快。经钟罩气体流量装置实验检测[6],采用正交多项式为基的最小二乘法进行拟合能获得满意的结果[7]。6阶拟合误差小于±0. 6%,测量范围达100∶1,可以用于管道气体流量的测量。 摘自:中国计量测控网
|